The Decision-Making Model in Green Supply Chains - Based on Equity Concerns*
El modelo de toma de decisiones en las cadenas de suministro ecológicas basado en cuestiones de equidad
The Decision-Making Model in Green Supply Chains - Based on Equity Concerns*
Ingeniería y Universidad, vol. 29, 2025
Pontificia Universidad Javeriana
Ming Zhao zm_ming@hotmail.com
Anhui Communications Vocational and Technical College, China
Received: 19 march 2025
Accepted: 20 august 2025
Published: 29 september 2025
Abstract:
Objectives: This paper aims to analyze the impacts of pre-sale demand volume, cost sharing, and profit sharing on the green supply chain using a decision-making model that considers equity concerns. Materials and methods: A model is established by introducing cost-sharing and profit-sharing mechanisms for green supply chains based on a network platform, and an equity concern scenario is simulated to test the impacts of pre-sale demand volume, cost sharing, and profit sharing on the supply chain. Results and discussion: Under the equity concerns of the sales platform, pre-sale demand volume positively impacts profits. The cost-sharing coefficient negatively impacts the current sale commission rate but has a positive effect on the sales effort. The profit-sharing coefficient positively influences both the current sale commission rate and sales effort. Conclusions: The decision-making model based on equity concerns that introduces cost-sharing and profit-sharing mechanisms can effectively analyze the impacts of pre-sale demand volume, cost sharing, and profit sharing on green supply chains, providing an effective reference for the planning of green supply chains.
Keywords:green, supply chain, equity concern, decision model.
Resumen:
Objetivos: el presente artículo tiene como objetivo analizar los impactos del volumen de demanda previa a la venta, el reparto de costes y el reparto de beneficios en la cadena de suministro ecológica utilizando un modelo de toma de decisiones que tiene en cuenta cuestiones de equidad. Materiales y métodos: se establece un modelo mediante la introducción de mecanismos de reparto de costes y beneficios para las cadenas de suministro ecológicas basadas en una plataforma de red, y se simula un escenario de preocupación por la equidad para comprobar los efectos del volumen de demanda previa a la venta, el reparto de costes y el reparto de beneficios en la cadena de suministro. Resultados y discusión: en lo que respecta a las cuestiones de equidad de la plataforma de ventas, el volumen de demanda previa a la venta tiene un impacto positivo en los beneficios. El coeficiente de reparto de costes tiene un impacto negativo en la tasa de comisión de venta actual, pero tiene un efecto positivo en el esfuerzo de ventas. El coeficiente de reparto de beneficios influye positivamente tanto en la tasa de comisión de venta actual como en el esfuerzo de ventas. Conclusiones: el modelo de toma de decisiones basado en cuestiones de equidad que introduce mecanismos de reparto de costes y beneficios puede analizar eficazmente los efectos del volumen de la demanda previa a la venta, el reparto de costes y el reparto de beneficios en las cadenas de suministro ecológicas, lo que proporciona una referencia eficaz para la planificación de dichas cadenas.
Palabras clave: ecológico, cadena de suministro, preocupación por la equidad, modelo de decisión.
Introduction
In the context of increasing global environmental challenges, green supply chain management has become an important part of enterprises’ sustainability strategy [1]. With growing consumer environmental awareness and government policies promoting environmental protection, enterprises must balance economic benefits with environmental considerations to achieve dual objectives [2]. However, in the actual operation of green supply chains, profit distribution, decision-making, and equity concern behavior among supply chain members have a profound impact on overall performance [3]. When members perceive unfair income distribution, they may take actions that are detrimental to the overall performance [4]. Yu et al. [5] conducted decision modeling on the dual-channel supply chain (one manufacturer and one retailer) in three cases and found that the inventory transshipment strategy can coordinate online-to-offline business modes. Liu and Guo [6] constructed a Stackelberg game model between suppliers and e-commerce platforms. Patalas-Maliszewska et al. [7] developed a Petri net-based decision support model that identifies changes in the supply chain by employing additive manufacturing and enhancing customer-perceived value. This paper presents a decision model for green supply chains based on a network platform, incorporating cost-sharing and profit-sharing mechanisms. An equity concern scenario was set in the subsequent simulation experiment to test the impact of the pre-sale demand volume, cost sharing, and profit sharing on the supply chain. A limitation of this study is that it only considers the equity concern of the sales platform toward the manufacturer when constructing the decision-making model. Therefore, the future research direction is to add the manufacturer’s equity concern towards the sales platform and construct a decision-making model under the mutual concern of both parties, so as to make the analysis results closer to the real situation.
Green Supply Chain Decision Model
Green supply chains adopt a pre-sale mode for green products [8], where manufacturers produce green products and sell them via online shopping platforms [9]. In this mode, manufacturers delegate sales to platforms, offering discounts to promote products. Income distribution among supply chain members is critical; inequitable distribution can negatively impact overall profits [10].
The Decision-Making Model in the Green Supply Chain
Due to the changing situation in the actual operation process, it is necessary to set assumptions in advance when constructing the decision-making model. To construct the decision model, the following assumptions are made: ① the manufacturer occupies a dominant position [11]; ② product demand is high, and the market can fully absorb the manufacturer’s product; ③ supply chain information is transparent, the current sale price is fixed after comparison and coordination with similar alternative products and the market average price, and the pre-sale price is determined by discounting the current sale price; ④ pre-sales positively influence current sales volume.
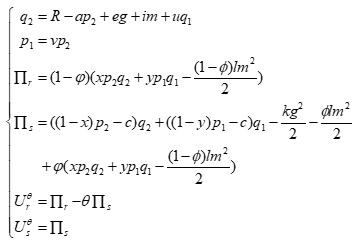
The function of the decision model is:
(1)The equity concern coefficient [12] reflects supply chain participants’ focus on fair profit distribution. A higher coefficient indicates greater emphasis on equity. In the model, decision quality is measured not only by profit but also by equity utility, i.e., the fairness of profit distribution. For equity-conscious participants, their equity utility needs to subtract the profit of the other participant, under the proportion of the equity concern coefficient, from their obtained profit. The profit of the other participant under the proportion of the equity concern coefficient is considered by the equity-attentive party as an undeserved profit, which makes them feel a loss.
The Decision Model under Equity Concerns after the Introduction of Profit-Sharing and Cost-Sharing Contracts
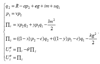
In an ideal, neutral decision model, supply chain benefits are maximized. In order to ensure the smooth flow of products, funds, and information in the supply chain and improve the overall benefits, supply chain members usually sign contracts to enhance their enthusiasm [13], especially the sales platform in a disadvantaged position. In this paper, profit-sharing and cost-sharing contracts are introduced into the supply chain. The revised decision model function under equity concerns is:
(2)The description of the relevant parameters of the above decision-making model function is shown in Table 1.

Simulation experiment
Experimental Environment
The simulation was conducted using MATLAB on a Windows 11 server with 32 GB of memory.
Experimental Setting
The basic parameters required by different decision models during simulation are shown in Table 2. Two models were compared: Decision Model 1 (incorporates the equity concern of the sales platform) and Decision Model 2 (which adds cost-sharing and profit-sharing coefficients to Model 1).

Test item (1): The demand volume of the pre-sale market was set within the range of 0 to 1,000, and the cost-sharing and profit-sharing coefficients of Model 2 were set to 0.6 and 0.2, respectively. The influences of different demand volumes of the pre-sale market on the manufacturer’s current sale commission rate, the sales effort level of the sales platform, and the supply chain profit in the two models were tested.
Test item (2): The cost-sharing coefficient was set within the range of 0-1, the demand volume of the pre-sale market was set to 1,000, and the profit-sharing coefficient of Model 2 was set to 0.2. The influences of different cost-sharing coefficients on the two models were tested.
Test item (3): The profit-sharing coefficient was set within the range of 0-1, the demand volume of the pre-sale market was set to 1,000, and the cost-sharing coefficient of Model 2 was set as 0.6. The influences of different profit-sharing coefficients on the manufacturer’s current sale commission rate, the sales effort level of the sales platform, and the supply chain profit in the two models were tested.
In the above test items, after the model was constructed, the set values were substituted for calculation. There were no random parameters in this model, so there was no need for repetition or statistical error calculation.
Experimental Results
The influences of the demand volume of the pre-sale market on the decisions and profits of the two supply chains in Models 1 and 2 are shown in Figure 1 and Tables 3 and 4. As shown in Figure 1 and Table 3, with the increase in the demand volume, the current sale commission rate and sales effort level in the two supply chains decreased. Under the same demand volume, the sales effort level of the sales platform in Model 2 was higher. The current sale commission rate in Model 2 can only be higher when the demand volume of the pre-sale market reaches a certain scale. As shown in Table 4, with the increase of demand volume, the profits of both supply chains increased accordingly; under the same demand volume, the profit of Model 2 was higher.



The influence of the cost-sharing coefficient on the decision and profit of the two supply chains in Models 1 and 2 is shown in Figure 2 and Tables 5 and 6. As shown in Figure 2 and Table 5, with the increase of the cost-sharing coefficient, Model 1 did not change because it did not involve the cost-sharing coefficient, while the current sale commission rate of Model 2 decreased, and the sales effort level increased. As shown in Table 6, with the increase of the cost-sharing coefficient, the profit of Model 1 did not change because the cost-sharing coefficient was not involved, and the profit of Model 2 increased and then decreased.



The influence of the profit-sharing coefficient on the decision and profit of the two supply chains in Models 1 and 2 is shown in Figure 3 and Tables 7 and 8. According to Figure 3 and Table 7, with the increase of the profit-sharing coefficient, Model 1 did not change because it did not involve the cost-sharing coefficient, while the current sale commission rate and sales effort level of Model 2 increased accordingly. As shown in Table 8, with the increase of the cost-sharing coefficient, the profit of Model 1 did not change because the profit-sharing coefficient was not involved, and the profit of Model 2 increased and then decreased.



Conclusions
This paper proposes a decision model introduced with cost sharing and profit sharing for green supply chains based on a network platform. An equity concern scenario was established in the simulation experiment to examine the impacts of pre-sale demand volume, cost sharing, and profit sharing on the supply chain. With the increase in the demand volume of the pre-sale market, the current sale commission rate and sales effort level of both supply chains decreased, and the profits increased accordingly. Under the same demand volume, the profit of Model 2 was higher. With the increase of the cost-sharing coefficient, Model 1 did not change because it did not involve the cost-sharing coefficient; in contrast, the current sale commission rate of Model 2 decreased, the sales effort level improved, and the profit increased and then decreased. With the increase of the profit-sharing coefficient, Model 1 did not change because it did not involve the cost-sharing coefficient; in contrast, the current sale commission rate of Model 2 increased, the sales effort level improved, and the profit increased and then decreased. Based on the results, the following suggestions are put forward: ① Increase the promotion of products through Internet platforms to expand the pre-sale demand; ② Add cost sharing and profit sharing in the supply chain to strengthen risk resistance and participant motivation.
The contribution of this paper lies in analyzing the impacts of equity concern, cost sharing, and profit sharing in the supply chain by using a decision-making model, providing effective references for how to adjust the distribution among supply chain participants and improve the supply chain profit.
References
[1] A. Sutrisno and V. Kumar, “Supply chain sustainability risk decision support model using integrated Preference Selection Index (PSI) method and prospect theory,” J. Adv. Manag. Res., vol. 19, no. 2, 2022.
[2] D. R. Petrovi, P. Mimovi and Z. Arsovski, “Decision support model for supply chain management,” Tm-tech. Mess., vol. 2021, 2021, 1457-1479.
[3] Y. Feng, R. Chen, and L. He, “Decision Model of Contract-Farming Supply Chain Considering Producer's Fairness Concerns under Random Yield,” Complex, vol. 2022, 2022, 4119728:1-4119728:8.
[4] M. Choudhury, S. K. De and G. C. Mahata, “Inventory decision for products with deterioration and expiration dates for pollution-based supply chain model in fuzzy environments,” RAIRO - Oper. Res., vol. 56, no. 1, 2022, 475-500.
[5] X. Yu, S. Wang and X. Zhang, “Ordering Decision and Coordination of a Dual-Channel Supply Chain with Fairness Concerns Under an Online-to-Offline Model,” Asia-Pac. J. Oper. Res., vol. 36, no. 2, 2019, 1940004.1-1940004.26.
[6] Z. Y. Liu and P. T. Guo, “Supply Chain Decision Model Based on Blockchain: A Case Study of Fresh Food E-Commerce Supply Chain Performance Improvement,” Discrete Dyn. Nat. Soc., vol. 2021, no. Pt.. 5, 2021, 5795547-1-5795547-14.
[7] J. Patalas-Maliszewska, R. Wiśniewski, M. Zhou, M. Topczak, and M. Wojnakowski, “Applying Additive Manufacturing Technologies to A Supply Chain: A Petri Net–Based Decision Model,” Int. J. Ap. Mat. Com., vol. 34, no. 3, 2024, 513-525.
[8] H. X. Oh, D. K. S. Ng and V. Andiappan, “Decision Support Model for Planning Optimal Hydrogen Supply Chains,” Ind. Eng. Chem. Res., vol. 62, no. 38, 2023, 15535-15552.
[9] L. Shen, F. Lin, Y. Wang, L. Ding, T. C. E. Cheng and D. Wang, “Decision and Coordination of an E-commerce Supply Chain Considering Returns and Network Externalities,” J. Syst. Sci. Syst. Eng., vol. 33, no. 5, 2024, 552-575.
[10] N. Chen, J. Cai and K. Govindan, “Decision analysis of supply chain considering yield uncertainty and CSR under different market power structures,” J. Clean. Prod., vol. 434, no. Jan.1, 2024, 1-12.
[11] F. Xuan, “Regression analysis of supply chain financial risk based on machine learning and fuzzy decision model,” J. Intell. Fuzzy Syst., vol. 40, no. 4, 2021, 6925-6935.
[12] X. Yuan, F. Tang, D. Zhang and X. Zhang, “Green Remanufacturer’s Mixed Collection Channel Strategy Considering Enterprise’s Environmental Responsibility and the Fairness Concern in Reverse Green Supply Chain,” Int. J. Env. Res. Pub. He., vol. 18, no. 7, 2021, 3405.
[13] N. Surajit and S. Bijan, “An Integrated 3-Phase Group Decision-Making Model for Supplier Selection in a Supply Chain Network,” J. Instit. Eng. (India), Series C, vol. 103, no. 7, 2022, 1-15.
[14] L. G. Zanon, F. Marcelloni, M. C. Gerolamo and L. C. R. Carpinetti, “Exploring the relations between supply chain performance and organizational culture: A fuzzy grey group decision model,” Int. J. Prod. Econ., vol. 233, no. 14, 2021, 108023.
[15] J. Jian, B. Li, N. Zhang and J. Su, “Decision-making and coordination of green closed-loop supply chain with fairness concern,” J. Clean. Prod., vol. 298, 2021, 1-15.
[16] J. Wang, M. Xu and H. Jian, “Coordination model of supply chain based on deciders' risk attitudes in a fuzzy decision environment,” J. Intell. Fuzzy Syst., vol. 40, no. 1, 2021, 1-15.
Notes
*
Research article
Additional information
How to cite this article: M Zhao, “The Decision-Making Model in Green Supply Chains - Based on
Equity Concerns” Ing. Univ. vol. 29, 2025. https://doi.org/10.11144/Javeriana.iued29.dmmg