Disabling stressors on happiness at work: Exploring the moderating role of Leader-Member Exchange and Team-Member Exchange*
Desactivar los factores estresantes sobre la felicidad en el trabajo: explorando el papel moderador del intercambio líder-miembro y el intercambio entre miembros del equipo
J. Patricia Muñoz-Chávez
, Rigoberto García-Contreras
, Héctor Barrios-Quiroz
, Rosa Leticia Muñoz-Chávez
Disabling stressors on happiness at work: Exploring the moderating role of Leader-Member Exchange and Team-Member Exchange*
Universitas Psychologica, vol. 24, 2025
Pontificia Universidad Javeriana
J. Patricia Muñoz-Chávez
Technological University of the Metropolitan Zone of the Valley of Mexico, México
Rigoberto García-Contreras a rgarcia@enes.unam.mx
National Autonomous University of Mexic, México
Héctor Barrios-Quiroz
Metropolitan Polytechnic University of Hidalgo, México
Rosa Leticia Muñoz-Chávez
Metropolitan Autonomous University of Mexico, México
Received: 18 june 2025
Accepted: 02 september 2025
Abstract: This research, relying on the social exchange theory, aims to provide information on the moderating effect of leader-member exchange (LMX) and team member exchange (TMX) on happiness at work in the face of the prevalence of organizational stressors such as burnout and mobbing. This study used an electronic questionnaire to collect data from 416 employees of companies located in Mexico. Hypotheses were tested using hierarchical multiple regression analysis. Results showed that LMX and TMX moderate the effect of burnout and mobbing on happiness at work. The findings suggest that a functional organization should be favored in terms of work climate, as well as strengthening LMX and TMX relationships to avoid the negative effects of burnout and mobbing on employee well-being.
Keywords:leader-member exchange, team-member exchange, happiness at work, burnout, mobbing.
Resumen: Esta investigación, apoyándose en la teoría del intercambio social, tiene como objetivo proporcionar información sobre el efecto moderador del intercambio líder-miembro (LMX) y del intercambio de miembros del equipo (TMX) sobre la felicidad en el trabajo ante la prevalencia de factores estresantes organizacionales como el burnout y mobbing. Se utilizó un cuestionario electrónico para recolectar datos de 416 empleados de empresas ubicadas en México. Las hipótesis se probaron mediante análisis de regresión múltiple jerárquica. Los resultados mostraron que LMX y TMX moderan el efecto del burnout y el mobbing sobre la felicidad en el trabajo. Los hallazgos sugieren que se debe favorecer una organización funcional en términos de clima laboral, así como fortalecer las relaciones LMX y TMX para evitar los efectos negativos del burnout y el mobbing en el bienestar de los empleados.
Palabras clave: intercambio líder-miembro, intercambio de miembros del equipo, felicidad en el trabajo, agotamiento, acoso laboral.
Work represents a social effort and many experiences within the work environment are of this nature. In this regard, it should be considered that the relationships between human talent in organizations represent a key element for the achievement of organizational objectives. It is necessary to consider that the goals, assigned tasks, and even the work relationships may not always be harmonious, which generates adverse organizational phenomena, both personal and organizational; for example, stress, dissatisfaction or abusive supervision (Gerhardt et al., 2021; Godin et al., 2017; Tanhan & Çam, 2011). In this way, it is important to take into account that organizations are socially complex and are not only elements with structures determined under a linear approach, but also represent groups of individuals who establish interrelationships that give meaning to a symbolic life within them (Schneider & Somers, 2006).
The groups that create an organization are formed by individuals, whose nature is also complex, as is the nature of their internal relationships. Individuals whose ideal self-adapts to the organizational self, that is, their life goals are reflected in the organization and together with the organizational goals they see in the organization the mechanism to satisfy their ideals (Gerhardt et al., 2021; Shubayr et al., 2022). Consequently, as complexity in the workplace increases, it is necessary to identify and understand the effects that the interactions of its members have on organizational results (Sigahi et al., 2021). Thus, satisfaction with co-workers and autonomy are components of well-being at work (Islam et al., 2022; Luna-Arocas & Danvila-del-Valle, 2021), and violence in the workplace represents the rupture of the ideal self with the organizational self.
Previous research has highlighted the detrimental effects of stressors such as burnout and workplace bullying on job attitudes and well-being (e.g., reduced satisfaction, lower engagement, higher turnover intentions), (Gerhardt et al., 2021; Marin et al., 2024; Muñoz-Chávez & López-Chau, 2022; Shubayr et al., 2022; Steele et al., 2020). However, although there is growing interest in the positive side of organizational psychology, particularly happiness at work, little is known about how disabling stressors affect this construct directly. Moreover, while studies on social exchange theory have examined the role of leader-member exchange (LMX) and team-member exchange (TMX) in shaping employee outcomes, there is a lack of empirical evidence on whether these relational resources can buffer or exacerbate the negative impact of stressors on happiness at work. This gap is important because if social exchange relationships operate as moderators, organizations may leverage them as protective mechanisms to mitigate the adverse effects of stress. Addressing this issue, the present study contributes in two main ways. First, based on the social exchange theory, the influence of burnout and mobbing stressors on the positive aspect of happiness at work is theorized and empirically examined (Gerhardt et al., 2021; Houghton et al., 2021; Lu et al., 2022; Maslach & Jackson, 1981; Thompson & Bruk-Lee, 2021) being this a primary study according to background knowledge. Second, the research explores the moderating role of LMX and TMX on the relationship between stressors and happiness at work. Figure 1 illustrates the theoretical model of the study. It suggests two negative relationships between burnout and mobbing in predicting employee happiness. It also suggests the moderating impact of LMX and TMX on the relationships.

The rest of the paper is structured as follows. The second section presents the literature review and the arguments that support the relationship between burnout, mobbing and happiness at work, as well as the arguments that delineate the moderating effect of LMX and TMX. The above with the intention of generating the research hypotheses. The third section discusses the method developed from the statistical analysis of a sample of 416 participants whose results are shown in the fourth section. Last, the final section embraces the discussion, conclusions, implications and future work.
Literature review and hypotheses development
Burnout, mobbing, and their effect on happiness in the workplace
Burnout syndrome is an organizational phenomenon that arises because of the gap between employees' work expectations and the reality experienced. In this sense, there are several elements that cause its prevalence such as: excessive work demands, fatigue, reduced efficiency and emotional exhaustion, therefore, it is a reaction to chronic work stress (Madigan & Kim, 2021). Previous studies show that they negatively affect the physical and psychological health of an individual, with consequences in variables such as burnout, depersonalization and decreased effectiveness, organizational performance, lack of organizational commitment, turnover intention, job dissatisfaction, unhappiness at work, among other related variables (García-Contreras et al., 2022; Lu et al., 2022; Maslach & Jackson, 1981; Thompson & Bruk-Lee, 2021).
On the other hand, mobbing represents the intention of a type of labor violence that has been refined, that is, a type of symbolic violence, whose effect is increased by the corporate discourse of efficiency and compliance with quantitative results that do not contemplate the nature and meaning that the individual gives to his or her work. Mobbing is a strategy of exploitation, in turn, it is a mechanism for the individual to push aside those he or she considers threatening to his or her position. In addition, it is expressed in a way of exercising power that leads to emotions that reflect a dehumanization within the organization (Muñoz-Chávez & López-Chau, 2022). To comprehensively understand mobbing, it is necessary to identify its consequences. Like other variables related to harassment, it has serious implications for the physical and psychological health of employees, and can manifest itself in problems of anxiety, depression, and stress. In turn, this can lead to negative organizational phenomena such as staff turnover, absenteeism, reduced productivity, dissatisfaction, among other undesirable consequences for the organization (Houghton et al., 2021; Galanis et al., 2024; Léné, 2024).
In contrast, happiness at work refers to a short-lived state of mind and emotion that people experience in the workplace. According to Salas-Vallina et al. (2018), happiness in the work environment involves variables such as job satisfaction, engagement, commitment, among others. Therefore, a satisfied worker experiences a pleasurable or positive emotional state resulting from the appraisal of one´s job or job experiences (Alkhateeb et al., 2025). However, employee satisfaction can decrease due to a variety of organizational and individual factors (Chávez et al., 2018; Erdogan & Yildirim, 2019; Houghton, et al., 2021).
In this context, these three psychosocial variables have been of interest to organizational leadersPrevious research has also supported the negative relationship between burnout and job satisfaction (Madigan & Kim, 2021); as well as the negative relationship between mobbing and job satisfaction (Chávez et al., 2018; Erdogan & Yildirim, 2019; Muñoz-Chávez & López-Chau, 2022; Rodríguez-Cifuentes et al., 2020; Steele, et al., 2020). The above arguments lead to the establishment of the following hypotheses:
H1: Burnout has a negative effect on happiness at work.
H2: Mobbing has a negative effect on happiness at work.
Social exchange approach on burnout, mobbing and happiness at work
The well-being of the members of the organization is integrated by physical, organizational, and psychosocial aspects of work. The relationships that arise within the organization are the basis for social support among those who make it up (Chernyak-Hai & Rabenu, 2018; Fadare et al., 2022). To understand organizational behavior, the theory of social exchange indicates the exchange of tangible and intangible resources between the members of the organization (Blau, 1986). The foregoing, results in a relationship where reciprocity plays a preponderant role, because if employees feel respected, they develop positive behaviors. That is, social exchange is based on mutual socio-emotional contributions and benefits (Cropanzano & Mitchell, 2005; Fan et al., 2021).
LMX as a disabler of the effects of burnout and mobbing on happiness at work
In the employee-organization relationship, leaders exert significant influence over their collaborators due to their legitimate authority, control of resources, and management of expectations and rewards (Seong & Choi, 2019). In this sense, the Leader-Member Exchange (LMX) concept provides a relational approach to leadership characterized by reciprocal exchange and dyadic interaction between leaders and subordinates. LMX therefore captures the quality of interactions between leaders and followers (Graen & Uhl-Bien, 1995). Indeed, employees with high LMX belong to a high-quality relationship with the leader; managing to favor the level of communication, exchange of information, interaction, trust, support, and respect. In addition, the leader makes the collaborator feel like a fundamental part of the group, contributing to improve the rates of commitment and job satisfaction (Brimhall et al., 2014; Chernyak-Hai & Rabenu, 2018).
Therefore, LMX can trigger a psychological safety effect within the work environment. In accordance with the above, the theory of social exchange suggests that when the LMX is high, positive behaviors are facilitated, that is, empathetic behaviors displayed by the leader are perceived positively by employees and will disable the effect of burnout and mobbing on happiness at work. Thus, based on the above discussion, the following hypotheses are established:
H3: LMX moderates the effect on the relationship between burnout and happiness at work.
H4: LMX moderates the effect on the relationship between mobbing and happiness at work.
TMX as a disabler of the effects of burnout and mobbing on happiness at work
Team-Member Exchange refers to the quality of interpersonal relationships between peers, to the perception of reciprocity and exchange of resources (information, feedback, respect, support, knowledge, trust and affective interaction) between members of the group (Seers, 1989). Studies show that the level of quality of this interaction is reflected in the behavior of team members, since a high-quality TMX positively affects their motivation, psychological well-being, prosocial behavior, sense of belonging, and identity (Chen & Liu, 2020; Tan et al., 2022).
In this sense, TMX encourages the desirable interaction between employees and facilitates the exchange processes (Wu et al., 2018). As a result, the high quality of TMX enables people to reduce the negative effects on emotional aspects and behaviors derived from healthy convenience and hygienic working conditions (Kang & Jang, 2022; Vveinhardt & Sroka, 2020; Wu et al., 2018). Due to the above, and due to the positive interaction between colleagues, it is expected that TMX can lessen the negative effect of levels of attitudes such as burnout and mobbing on happiness at work. This leads to consider the following hypotheses:
H5: TMX moderates the effect on the relationship between burnout and happiness at work.
H6: TMX moderates the effect on the relationship between mobbing and happiness at work.
Methods
Sample and data collection procedure
A survey was carried out through an electronic questionnaire to collect data in various companies located in Mexico. The data collection period was from September 1 to October 31, 2022. Participants were informed that the results would be used exclusively for this research. In the same way, they were informed of the importance and the procedure. The participants were volunteers, and confidentiality was guaranteed for their safety. After obtaining the informed consent of the participants, the filling of the instrument began. Of the questionnaires distributed, 416 were returned and useful, considering a response rate of 59.4 %. A sampling by convenience (accidental) was carried out, recognizing the limits of generalization but applying criteria accepted for social science studies (Bornstein et al., 2013; Jager et al., 2017). The sample size was 416 cases, which is relevant for the analyses performed. For the factor analysis, the sample size is above the threshold of 300 participants, which is considered adequate and suitable (MacCallum et al., 1999). For the regression, Green's (1991) rule on the number of predictors is considered, which considers the sample size to be adequate and guarantees statistical power to determine effects and ensures stable estimates.
Since the original scales were developed in English, a rigorous adaptation process was applied to Spanish. First, the translation and back-translation method was used, recognized for its usefulness in ensuring semantic and cultural equivalence between versions. The test was translated from English into Spanish and then reviewed by a bilingual specialist, who compared this version with the original and made the necessary adjustments. In addition, two experts in the field participated in the process, reinforcing the content validity of the instrument. Third, the first test was carried out with a cutoff of 177 observations. Specifically, an exploratory factor analysis (EFA) was performed for each construct.
Regarding the demographic and organizational profile of the respondents, the following is found: 53.6 % of the respondents were women and 46.4 % were men. Most of the respondents (64.2 %) were in the age range of 20 to 30 years, while 23.6 % were between 30 to 40 years and finally 12.2 % between 40 and 60 years. Regarding the level of studies, 52.6 % had a bachelor's or engineering degree, 17.8 % a master's degree, 6 % a doctorate, 14.4 % a technical career, and 9.1 % did not have professional studies. Regarding the years of work, 42.3 % of those surveyed worked for 1 to 5 years, 23.8 % had less than one year, 15.1 % had 6 to 10 years, 6 % had 11 to 15 years and 12.7 % more than 15 years.
Measures
Existing literature was consulted to identify and select the measurements to build the instrument (Appendix). All items were evaluated using a four-point Likert-type scale ranging from "strongly disagree" (1) to "strongly agree" (4).
Leader-Member Exchange (LMX) was evaluated with a five-item scale (Lee et al., 2016; Liden & Maslyn, 1998). This scale asks employees to rate the quality of the perceived exchange relationship with the leader (for example, "My supervisor (immediate boss) defends my work actions to a superior, even without full knowledge of the issue in question").
Team-Member Exchange (TMX) was assessed with a six-item scale (Fidalgo & Piñuel, 2004; Lee et al., 2016). This set of items makes it possible to evaluate the exchange relationship of the respondents with their work teammates (for example, "My colleagues are willing to help me voluntarily to finish the work assigned to me").
Burnout was evaluated with a six-item scale (Maslach & Jackson, 1981). This scale measures the level of emotional exhaustion experienced by employees (for example, “I think this job is hardening me emotionally”).
Mobbing was evaluated using a ten-item scale (Fidalgo & Piñuel, 2004). Employees evaluate hostile behavior by their superiors (for example, "at my job my supervisor (bosses) deprives me of essential and necessary information to do my job").
Happiness at work was evaluated through a six-item scale (Singh & Aggarwal, 2018). This scale makes it possible to quantify the positive feelings that employees experience in response to satisfaction with the conditions of their work (for example, “I feel that I am doing something worthwhile in my work").
Reliability and validity
Cronbach's Alpha (α) values for all variables were greater than 0.7. Specifically, the results of the analysis showed the following: (1) LMX (α = 0.86); (2) TMX (α = 0.83); (3) Burnout (α = 0.84); Mobbing (α = 0.91), and Happiness at work (α = 0.86). As can be seen, all indicate an acceptable level of reliability (Nunnally, 1978).
To test the validity, in the first instance, a review of previous research was carried out in which the scales used have been used and validated (Wu et al., 2018). Subsequently, an exploratory factor analysis was performed for the five constructs. The results are the following; the KMO sample adequacy index was 0.91. Bartlett's sphericity test was significant (p < 0.001). Almost all the items of the five constructs presented factor loadings greater than 0.5, except for one item from the burnout scale and two items from the mobbing scale, which showed loadings greater than 0.4. The explained variance of the five constructs was 68,279. In general, the results are acceptable and demonstrated the validity of the constructs.
Results
Regression assumptions
Prior to regression analysis, the fundamental regression assumptions were confirmed. Normality was tested using asymmetry and kurtosis with values ranging between ± 2, confirming a normal distribution. Linearity and homoscedasticity were tested by plotting the residuals against the predicted values; no pattern was observed in the plot results. Multicollinearity was dismissed when VIF values below 10 were found, and the correlation coefficients between variables ruled out collinearity between them (Hair et al., 2018; Osborne & Waters, 2002).
Descriptive and Correlations
Table 1 shows the results of the means, standard deviations, and correlations of the variables. The results prove the negative correlation of burnout with happiness at work (r = −0.36). Mobbing was negatively correlated with happiness at work. (r = −0.40). LMX was negatively correlated with burnout (r = −0.33) and mobbing (r = −0.39). TMX was negatively correlated with mobbing (r = −0.26). On the other hand, the results also indicated the following positive correlations. The correlation between LMX and TMX (r = 0.37). Both LMX and TMX showed positive correlations with job satisfaction (r = 0.43; r = 0.45). Finally, burnout was positively correlated with mobbing (r = 0.63). As can be seen, the results are consistent with what was established in the literature review. On interpreting the correlation coefficients, values close to 0.10 can be considered a small effect, around 0.30 a medium effect, and from 0.50 onwards a large effect, which according to Cohen (1988), are criteria widely used in the social sciences to assess the magnitude of associations. The results indicate that all statistically significant correlations are medium.

Confirmatory factor analysis
A confirmatory factor analysis was performed to validate the factor structure. The hypothetical model proposed for this research was tested. The model with a five-factor structure showed an acceptable adjustment based on the following indicators: χ2 = 801.16; df = 437; p < 0.001; RMSEA = 0.08: NNFI = 0.92: CFI = 0.94. In addition, a diagnosis of multicollinearity was made with the five variables under study. The results showed a value of the variance inflation factor greater than 10 (VIF = 21.38). These results demonstrated that the proposed five-factor hypothetical model is viable for testing the hypotheses.
Hypothesis testing
Hypothesis 1 and Hypothesis 2 suggest that there is a negative effect of burnout and mobbing on happiness at work. As seen in Table 1, the correlations between these constructs were moderately negative (−0.36 and −0.40; p < 0.001). Therefore, the expected relationships are proved. Similarly, hierarchical regression analysis was used to continue testing the hypotheses. To demonstrate the negative direct effects of burnout and mobbing on happiness at work, the . regression coefficients were considered. To test the moderating role of LMX and TMX, the interaction between the effects of the variables was considered.
Table 2 shows the results of the hierarchical regression analysis. Model 1 includes the direct effect variables (burnout and mobbing). Model 2 adds LMX and TMX moderators. Model 3 adds the interactions between variables. When considering the results of the complete model, the following direct effects are found: (1) The direct effect of burnout is negative and significant (β = −0.179; p < 0.001). This result supports Hypothesis 1. (2) The direct effect of mobbing is negative and significant (β = −0.283; p < 0.001). This result supports Hypothesis 2. (3) The effect of LMX is positive and significant (β = 0.315; p < 0.001). (4) The effect of TMX is positive and significant (β = 0.315; p < 0.001).
In order to evaluate the coefficient of determination R², it is suggested that values above 0.30 represent a large effect in social sciences. The increase in R² when moderating effects intervene, as occurs in Model 3, is also evaluated. Regarding regression analysis, β coefficient values around 0.10 can be considered small and around 0.30 medium; the results of the regression analysis fall within these criteria.

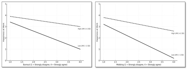
Regarding the indirect effects, Hypotheses 3 and 4 establish that LMX moderates the relationship between burnout and happiness at work, as well as moderating the relationship between mobbing and happiness at work, respectively. So, the negative relationship is weaker when there is a high level of LMX. The empirical results support this hypothesis by finding the burnout–LMX and mobbing–LMX interactions statistically significant (β = −0.036; β = −0.061; p < 0.001). Similarly, the effect flattens out (reduces) as LMX enters the negative relationship. These results are consistent with what is established in Hypotheses 3 and 4 (Figure 2).

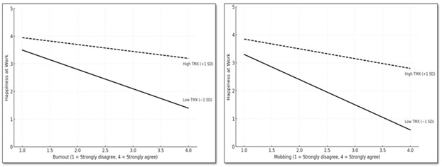
Likewise, the interactions of burnout, mobbing and TMX are statistically significant (β = −0.022; β = −0.058; p < 0.05; p < 0.001). These results indicate that the effects of burnout and mobbing are flatter in a quality TMX environment (Figure 3). These results support Hypotheses 5 and 6 (Table 3). To support the consistency of the results, the tests were carried out again, extracting groups of respondents (20 to 30 years old and with work seniority of less than one year). No substantial difference was found between these analyses and the primary findings (Zaman et al., 2001).


Discussion
This study examined the effect of burnout and mobbing on happiness at work. The results reveal through the fulfillment of Hypotheses 1 and 2 that high levels of burnout and mobbing have an effect on happiness at work. These results are consistent with what was found in previous studies that show that high levels of burnout affect the achievement of satisfying needs at work as well as experiencing a state of happiness in the workplace.
In addition to the direct effects identified, our findings contribute to the literature by showing that a high-quality relationship with the leader (LMX) moderates the relationships between burnout and happiness at work, as well as between mobbing and happiness at work. Furthermore, it shows that quality interpersonal relationships between peers (TMX) moderates the effects of burnout and mobbing. That is, if the leader has empathic and positive behaviors towards his collaborators, the effects of burnout and mobbing will decrease in happiness at work. Similarly, positive peer interaction contributes to a healthy organization by weakening the negative effects of burnout and mobbing on happiness at work (Kang & Jang, 2022; Vveinhardt & Sroka, 2020; Wu et al., 2018). Therefore, the findings demonstrate the moderating effect of social exchange concepts. Specifically, high quality of relationships with superiors (LMX) and high quality of relationships with coworkers (TMX) are expected to neutralize and flatten job stressors.
Likewise, our findings suggest that a quality social exchange relationship contributes to the generation of a functional organization (Chernyak-Hai & Rabenu, 2018; Graen & Uhl-Bien, 1995). For this reason, leaders must focus their efforts on the success of the organization, but not from a functionalist approach, that is, the success of an organization is not only measured by the achievement of quantifiable and measurable goals, which is essentially the importance of many organizational goals. A functional organization is to speak of a healthy organization, where the work environment contributes to the ideal Self of the individual being with the organizational Self (Godin et al., 2017; Shubayr et al., 2022; Thompson & Bruk-Lee, 2021).
However, this study has some limitations that should be acknowledged. First, the data were obtained through self-report instruments, which way introduce biases stemming from participants subjective perceptions. Likewise, the influence of social desirability cannot be ruled out, as some respondents may have provided answers, they considered socially acceptable rather than accurately reflecting their actual experiences. Moreover, the findings are bases on employees of companies located in Mexico, which limits the generalizability of the results to other contexts.
Despite these limitations, this study highlights several important aspects regarding the variables included in the proposed theoretical model. Nevertheless, further research is needed to consolidate these findings. For instance, future studies could examine additional organizational and individual moderators that may influence the relationship between burnout, mobbing and happiness at work beyond LMX and TMX. Expanding sample sizes and incorporating more heterogeneous populations would also strengthen the robustness of the results. Finally, replicating the study in different cultural and organizational contexts, and employing mixed methods or longitudinal designs, would enhance the external validity and contribute to a more comprehensive understanding of these phenomena.
Conclusions
A functional organization is to the extent of human beings, when it contributes to the well-being of all the people who integrate it and their work environment. Therefore, functionality does not only embrace efficiency and effectiveness in productivity standards or KPIs, but it also guarantees the development of members, where there is constant organizational learning, human development and a work environment that invites for workers to see in the organization something that contributes to their self-realization. In a functional organization, employees feel they are a fundamental part of the group.
In conclusion, achieving a quality LMX and TMX is a highly challenging task for organizations. The results of the proposed model showed that LMX and TMX are positively related to happiness at work and moderated the relationship between happiness at work and burnout and mobbing stressors. The foregoing shows that workers require leaders who prioritize the existence of effective mechanisms to generate, strengthen, and consolidate the quality of social exchange relationships in the organization so that the goals of the organization and its members are met. In this sense, communication in the subjective world responds to the need of workers to objectify themselves in subjectivity, that is, to identify with the work group through a strong affiliation that allows them to project their individual Self with the organizational Self, his or her objectives as a person that are achievable with the self-realization of the work that translates into greater efficiency in the workplace with the respective benefit of the organization, as well.
Implications
This study provides theoretical foundations and empirical evidence on the effects of LMX and TMX on happiness at work in the face of the prevalence of two adverse organizational phenomena: burnout and mobbing. The literature consulted suggests that there is a negative impact of the stressors analyzed on the happiness of employees. The study supports these affirmations exposed in previous research; therefore, the findings add to the knowledge about the negative predictors of happiness at work. In addition, the moderating effects of the social exchange perspective (LMX and TMX) that could inhibit the negative direct effects of certain stressors (burnout and mobbing) were identified. These moderating effects found, complement, and broaden the understanding of the theoretical perspective of social exchange by demonstrating that happiness and job satisfaction improve significantly if they are ensured by supervisors and team members.
On the other hand, the main practical contribution of the study is that it promotes happiness at work considering its unfavorable relationship with psychological stressors and the way in which these can be minimized. The study findings are able to enlighten managers to reduce stressors to acceptable levels. However, in stressful situations, managers should also encourage organizational cohesion to facilitate handling negative situations. Managers should develop initiatives that improve exchange and trust relationships between supervisors and teammates because LMX and TMX can reduce the negative effects of burnout and mobbing. For example, organizations can implement training programs in empathetic leadership and effective communication that promote fair treatment and consistent support from supervisors toward their employees. At the team level, activities such as peer mentoring, collaborative projects, group feedback sessions, or even team-building dynamics can be encouraged to strengthen mutual trust and cooperation. These practical strategies enable high-quality leader-member and team-member relationships to act as buffer against the negative effects of work-related stressors. Another strategy that organizations can consider is investing in human development programs focused on personal growth, such as emotional intelligence training, resilience workshops, and mindfulness practices. These initiatives strengthen employee’s self-awareness and empathy, which in turn contribute to building healthier and more positive workplace relationships. In this way, the need to generate, develop and maintain a healthy organization is evident, where trust, empathy and mutual support prevail as an antecedent of the well-being of the members of the organization and the achievement of personal and organizational objectives.
References
Alkhateeb, M., Althabaiti, K., Ahmed, S., Lövestad, S., & Khan, J. (2025). A systematic review of the determinants of job satisfaction in healthcare workers in health facilities in Gulf Cooperation Council countries. Global Health Action, 18(1). https://doi.org/10.1080/16549716.2025.2479910
Blau, P. (1986). Exchange and power in social life (2rd ed.). Routledge.
Bornstein, M. H., Jager, J., & Putnick, D. L. (2013). Sampling in developmental science: Situations, shortcomings, solutions, and standards. Developmental Review, 33(4), 357–370. https://doi.org/10.1016/j.dr.2013.08.003
Brimhall, K. C., Lizano, E. L., & Barak, M. E. M. (2014). The mediating role of inclusion: A longitudinal study of the effects of leader–member exchange and diversity climate on job satisfaction and intention to leave among child welfare workers. Children and Youth Services Review, 40, 79-88. https://doi.org/10.1016/j.childyouth.2014.03.003
Chávez, J. P. M., López-Chau, A., & Pérez, M. G. (2018). Estudio sobre la relación entre mobbing y la satisfacción laboral en docentes de instituciones de educación superior en México. European Scientific Journal, 14(4), 298. https://doi.org/10.19044/esj.2018.v14n4p298
Chen, C., & Liu, X. (2020). Linking team-member exchange differentiation to team creativity. Leadership & Organization Development Journal, 41(2), 208-219. https://doi.org/10.1108/LODJ-07-2019-0288
Chernyak-Hai, L., & Rabenu, E. (2018). The new era workplace relationships: Is social exchange theory still relevant?. Industrial and Organizational Psychology, 11(3), 456-481. https://doi.org/10.1017/iop.2018.5
Cohen, J. (1988). Statistical power analysis for the behavioral sciences (2nd ed.). Lawrence Erlbaum Associates.
Cropanzano, R., & Mitchell, M. S. (2005). Social exchange theory: An interdisciplinary review. Journal of Management, 31(6), 874-900. https://doi.org/10.1177/0149206305279602
Erdogan, V., & Yildirim, A. (2019). The relationship between exposure to mobbing and job satisfaction among healthcare professionals in Northern Cyprus. Revista de Cercetare si Interventie Sociala, 67, 154-168. https://doi.org/10.33788/rcis.67.10
Fadare, O. O., Doucette, W. R., Gaither, C. A., Schommer, J. C., Arya, V., Bakken, B. K., Kreling, D. H., Mott, D. A., & & Witry, M. J. (2022). Exploring the moderating role of job resources in how job demands influence burnout and professional fulfillment among US pharmacists. Research in Social and Administrative Pharmacy, 18(10), 3821-3830. https://doi.org/10.1016/j.sapharm.2022.04.003
Fan, X., Li, J., Mao, Z. E., & Lu, Z. (2021). Can ethical leadership inspire employee loyalty in hotels in China? -From the perspective of the social exchange theory. Journal of Hospitality and Tourism Management, 49, 538-547. https://doi.org/10.1016/j.jhtm.2021.11.006
Fidalgo, A. M., & Piñuel, I. (2004). La escala Cisneros como herramienta de valoración del mobbing. Psicothema, 16(4), 615-624. https://www.psicothema.com/psicothema.asp?id=3041
Galanis, P., Moisoglou, I., Katsiroumpa, A., & Mastrogianni, M. (2024). Association between workplace bullying, job stress, and professional quality of life in nurses: A systematic review and meta-analysis. Healthcare, 12(6), 623. https://doi.org/10.3390/healthcare12060623
García-Contreras, R., Muñoz-Chávez, J. P., Pineda-Celaya, L., & Rodríguez-Morales, J. I. (2022). Enfoque de intercambio social y felicidad en el trabajo: Explorando el efecto mediador del compromiso organizacional. Revista OBETS, 17(2), 221-236. https://doi.org/10.14198/OBETS2022.17.2.03
Gerhardt, C., Semmer, N. K., Sauter, S., Walker, A., de Wijn, N., Kälin, W., Kottwitz, M. U., Kersten, B., Ulrich, B., & Elfering, A. (2021). How are social stressors at work related to well-being and health? A systematic review and meta-analysis. BMC Public Health, 21(1), 890. https://doi.org/10.1186/s12889-021-10894-7
Godin, I., Desmarez, P., & Mahieu, C. (2017). Company size, work-home interference, and well-being of self-employed entrepreneurs. Archives of Public Health, 75, 1-9. https://doi.org/10.1186/s13690-017-0243-3
Graen, G. B., & Uhl-Bien, M. (1995). Relationship-based approach to leadership: development of leader-member exchange (LMX) theory of leadership over 25 years: Applying a multi-level multi-domain perspective. The Leadership Quarterly, 6(2), 219-247. https://doi.org/10.1016/1048-9843(95)90036-5
Green, S. B. (1991). How many subjects does it take to do a regression analysis. Multivariate Behavioral Research, 26(3), 499–510. https://doi.org/10.1207/s15327906mbr2603_7
Hair, J. F., Black, W. C., Babin, B. J., & Anderson, R. E. (2019). Multivariate data analysis (8th ed.). Pearson Prentice.
Houghton, J. D., Oxarart, R. A., Heames, J. T., Buckley, M. R., & Carbo, J. A. (2021). Leader power and agency-communion orientations as moderators of the effects of organizational characteristics on workplace bullying. Employee Responsibilities and Rights Journal, 33(3), 235-249. https://doi.org/10.1007/s10672-021-09379-x
Islam, M. N., Dasgupta, D. P., Sultana, N., Yesmine, F., Asaduzzaman, M., Rabeya, M. R., & Ahmed, K. (2022). Factors associated with depression and determining dimensions of job satisfaction among physicians in Bangladesh. Heliyon, 8(9), e10589. https://doi.org/10.1016/j.heliyon.2022.e10589
Jager, J., Putnick, D. L., & Bornstein, M. H. (2017). More than just convenient: The scientific merits of homogeneous convenience samples. Monographs of the Society for Research in Child Development, 82(2), 13–30. https://doi.org/10.1111/mono.12296
Kang, J., & Jang, J. (2022). Frontline employees' emotional labor toward their co-workers: The mediating role of team member exchange. International Journal of Hospitality Management, 102, 103130. https://doi.org/10.1016/j.ijhm.2021.103130
Lee, Y., Kim, M., & Koo, J. (2016). The impact of social interaction and team member exchange on sport event volunteer management. Sport Management Review, 19(5), 550-562. https://doi.org/10.1016/j.smr.2016.04.005
Léné, A. (2024). Bullying, mental health and absenteeism: A moderated mediation approach. Evidence-based HRM: A Global Forum for Empirical Scholarship, 12(1), 45-70. https://doi.org/10.1108/EBHRM-12-2021-0261
Liden, R. C., & Maslyn, J. M. (1998). Multidimensionality of leader-member exchange: An empirical assessment through scale development. Journal of Management, 24(1), 43-72. https://doi.org/10.1177/014920639802400105
Lu, M. -H., Luo, J., Chen, W., & Wang, M. -C. (2022). The influence of job satisfaction on the relationship between professional identity and burnout: A study of student teachers in Western China. Current Psychology, 41, 289-297. https://doi.org/10.1007/s12144-019-00565-7
Luna-Arocas, R., & Danvila-del-Valle, I. (2021). Does positive wellbeing predict job performance three months later? Applied Research in Quality of Life, 16(4), 1555-1569. https://doi.org/10.1007/s11482-020-09835-0
MacCallum, R. C., Widaman, K. F., Zhang, S., & Hong, S. (1999). Sample size in factor analysis. Psychological Methods, 4(1), 84–99. https://doi.org/10.1037/1082-989X.4.1.84
Madigan, D. J., & Kim, L. E. (2021). Towards an understanding of teacher attrition: A meta-analysis of burnout, job satisfaction, and teachers’ intentions to quit. Teaching and Teacher Education, 105, 103425. https://doi.org/10.1016/j.tate.2021.103425
Marin, I., Fira-Mladinescu, C., Marin, C. N., Stan, V., & Ursoniu, S. (2024). An analysis of burnout, coping, and pulse wave velocity in relation to the workplace of healthcare workers for the sustainability of the medical career. Sustainability, 16(3), 997. https://doi.org/10.3390/su16030997
Maslach, C., & Jackson, S. E. (1981). The measurement of experienced burnout. Journal of Organizational Behavior, 2(2), 99-113. https://doi.org/10.1002/job.4030020205
Muñoz-Chávez, J. P., & López-Chau, A. (2022). Identificación de acoso laboral en docentes de educación superior basada en respuestas de satisfacción en el trabajo. Revista Iberoamericana de Educación Superior, 13(37), 42-62. https://doi.org/10.22201/iisue.20072872e.2022.37.1303
Nunnally, J. (1978). Psychometric theory (1st ed.). McGraw Hill.
Osborne, J. W., & Waters, E. (2002). Four assumptions of multiple regression that researchers should always test. Practical Assessment, Research & Evaluation, 8(2), 1–9. https://doi.org/10.7275/r222-hv23
Rodríguez-Cifuentes, F., Fernández-Salinero, S., Moriano, J. A., & Topa, G. (2020). Presenteeism, overcommitment, workplace bullying, and job satisfaction: A moderated mediation relationship. International Journal of Environmental Research and Public Health, 17(22), 8616. https://doi.org/10.3390/ijerph17228616
Salas-Vallina, A., Alegre, J., & Guerrero, R. F. (2018). Happiness at work in knowledge-intensive contexts: Opening the research agenda. European Research on Management and Business Economics, 24(3), 149-159. https://doi.org/10.1016/j.iedeen.2018.05.003
Schneider, M., & Somers, M. (2006). Organizations as complex adaptive systems: Implications of complexity theory for leadership research. The Leadership Quarterly, 17(4), 351-365. https://doi.org/10.1016/j.leaqua.2006.04.006
Seers, A. (1989). Team-member exchange quality: A new construct for role-making research. Organizational Behavior and Human Decision Processes, 43(1), 118-135. https://doi.org/10.1016/0749-5978(89)90060-5
Seong, J. Y., & Choi, J. N. (2019). Is person–organization fit beneficial for employee creativity? Moderating roles of leader–member and team–member exchange quality. Human Performance, 32(3-4), 129-144. https://doi.org/10.1080/08959285.2019.1639711
Shubayr, N., Faraj, H., Hurbush, M., Khormi, M., Alyami, A., Majrashi, N., & Alomairy, N. (2022). Assessment of job satisfaction, lifestyle behaviors, and occupational burnout symptoms during the COVID-19 pandemic among radiologic technologists in Saudi Arabia. Radiography, 28(4), 1087-1092. https://doi.org/10.1016/j.radi.2022.07.015
Sigahi, T. F., Kawasaki, B. C., Bolis, I., & Morioka, S. N. (2021). A systematic review on the impacts of Covid‐19 on work: Contributions and a path forward from the perspectives of ergonomics and psychodynamics of work. Human Factors and Ergonomics in Manufacturing & Service Industries, 31(4), 375-388. https://doi.org/10.1002/hfm.20889
Singh, S., & Aggarwal, Y. (2018). Happiness at work scale: Construction and psychometric validation of a measure using mixed method approach. Journal of Happiness Studies, 19, 1439-1463. https://doi.org/10.1007/s10902-017-9882-x
Steele, N. M., Rodgers, B., & Fogarty, G. J. (2020). The relationships of experiencing workplace bullying with mental health, affective commitment, and job satisfaction: Application of the job demands control model. International journal of environmental research and public health, 17(6), 2151. https://doi.org/10.3390/ijerph17062151
Tan, C., Zhang, J., & Zhang, Y. (2022). The mechanism of team-member exchange on knowledge hiding under the background of “Guanxi”. Journal of Business Research, 148, 304-314. https://doi.org/10.1016/j.jbusres.2022.04.063
Tanhan, F., & Çam, Z. (2011). The relation between mobbing behaviors teachers in elementary schools are exposed to and their burnout levels. Procedia-Social and Behavioral Sciences, 15, 2704-2709. https://doi.org/10.1016/j.sbspro.2011.04.174
Thompson, A., & Bruk-Lee, V. (2021). Employee happiness: Why we should care. Applied Research in Quality of Life, 16(4), 1419-1437.. https://doi.org/10.1007/s11482-019-09807-z
Vveinhardt, J., & Sroka, W. (2020). Innovations in human resources management: Instruments to eliminate mobbing. Marketing & Management of Innovations, (2), 182-195. https://doi.org/10.21272/mmi.2020.2-13
Wu, W., Liu, Y., Kim, Y., & Gao, P. (2018). How does emotional conflict affect innovation behavior? The moderating roles of leader-member exchange and team-member exchange. International Journal of Conflict Management, 29(3), 327-346. https://doi.org/10.1108/IJCMA-09-2017-0094
Yin, W., Liao, S., Ouyang, X., Akhtar, M. N., & Zhou, X. (2023). I speak when boss back up my family: Testing the moderated mediation model of family supportive supervisor behavior and employee voice. Current Psychology, 42(11), 9017-9027. https://doi.org/10.1007/s12144-021-02215-3
Zaman, A., Rousseeuw, P. J., & Orhan, M. (2001). Econometric applications of high-breakdown robust regression techniques. Economics Letters, 71(1), 1-8. https://doi.org/10.1016/S0165-1765(00)00404-3
Appendix
Burnout (Maslach & Jackson, 1981)
I feel emotionally drained by my job.
When I get up in the morning and face another day of work, I feel tired.
I feel frustrated in my job.
I feel that my job is wearing me out.
I think this job is hardening me emotionally.
In my work I deal with emotional problems very quietly.
Mobbing (Fidalgo & Piñuel, 2004)
My work is evaluated unfairly or in a biased manner.
LMX (Liden & Maslyn, 1998)
My supervisor is the kind of person one would like to have as a friend.
My supervisor defends my work actions to a superior, even without complete knowledge of the issue in question.
My supervisor would come to my defense if I were "attacked" by others.
My supervisor would come to my defense if I were "attacked" by others. I respect my supervisor's knowledge of and competence on the job.
I admire my supervisor's professional skills.
TMX (Lee et al., 2016)
Other coworkers let me know when I did something that makes their jobs easier.
Other coworkers recognized my contribution.
In busy situations, other coworkers often asked me to help out.
In busy situations, I often volunteered my efforts to help other coworkers.
I helped finish work that had been assigned to other coworkers.
The other coworkers were willing to help me finish my work.
Notes
*
Research article.
Conflicts
of Interest:
The authors declare no conflicts of
interest.
Author notes
a Corresponding author. Email: rgarcia@enes.unam.mx
Additional information
How to cite: Muñoz-Chávez, J.
P., García-Contreras, R., Barrios-Quiroz, H., & Muñoz-Chávez, R. L. (2025). Disabling stressors
on happiness at work: Exploring the moderating role of Leader-Member Exchange
and Team-Member Exchange. Universitas
Psychologica, 24, 1-15. https://doi.org/10.11144/Javeriana.upsy24.dshw